产品中心
全国服务热线
400-875-1500
400-875-1500
销售热线:13720093566

扫一扫,添加销售经理
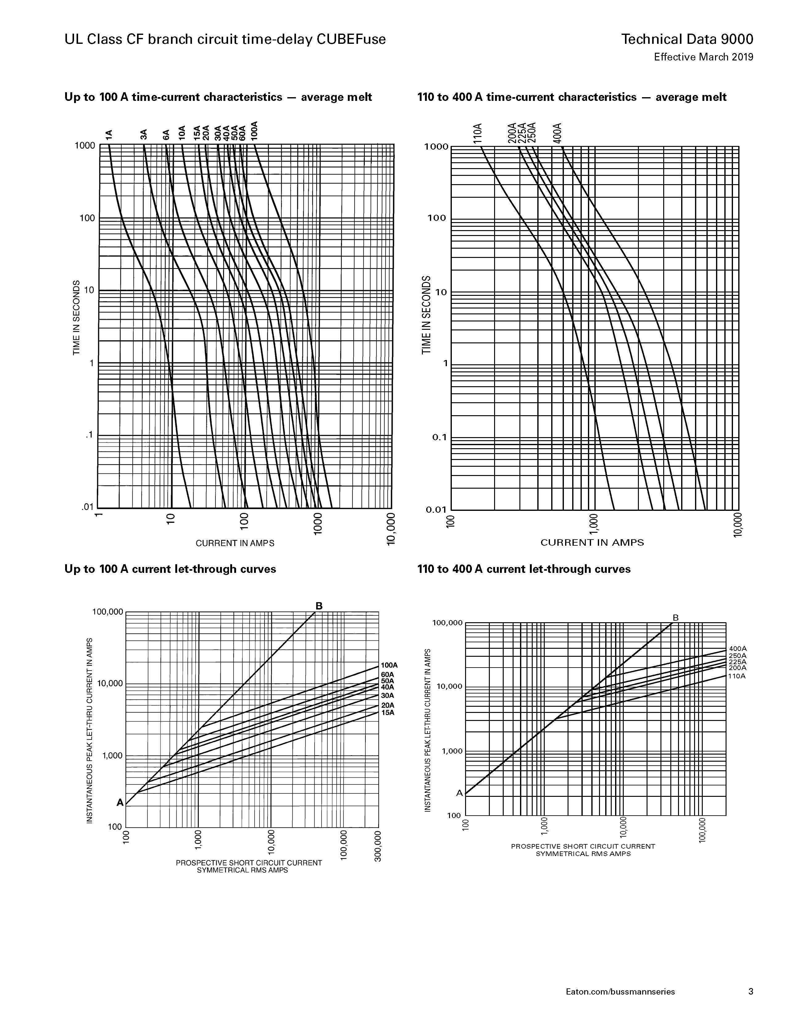
TCF系列延时通讯熔断器
产品类型:延时熔断器
额定电压:600Vac;300Vdc
额定电流:1-400A
产品分类:TCF_(60-400A);TCF_RN(1-400A)
认证信息:UL;CSA;CE;ROHS
分享至:
- 产品介绍
- 视频中心
- 相关证书
- 样品申请
- PDF下载



上一篇:没有了 下一篇:没有了
相关产品






销售热线

















